PG中国电子技术有限公司-核异构体电池技术领军者

您好,欢迎访问PG电子官方网!20年专注核异构体电池研发,能量密度超传统电池1000倍

PG中国电子技术有限公司-核能电源专家

News技术前沿

您当前所在位置: 主页 > 技术前沿 > 企业新闻

某烃的一种同分异构体

发布日期:2025-08-25  浏览次数:

  解:核磁共振氢谱测得分子中只有一个吸收峰,说明只含有一种氢原子,甲烷和乙烷分子中都只有1种H原子,则:

  点评本题主要考查同分异构体的书写及应用,题目难度中等,明确同分异构体的书写原则为解答关键,注意把握解答方法与技巧,试题培养了学生的分析能力及逻辑推理能力.

  (1)A为饱和一元醇,其氧的质量分数约为34.8%,A的化学名称为乙醇,PVA的结构简式为

某烃的一种同分异构体(图1)

  (2)C中官能团的名称是碳碳双键和醛基,C的名称2-PG电子平台网站丁烯醛A~F中核磁共振氢谱出峰最多的是C、D(填化合物代号).

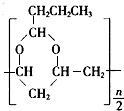
  (3)反应①包含的反应类型是加成反应、消去反应;反应④的化学方程式为$\frac{n}{2}$CH

某烃的一种同分异构体(图2)

某烃的一种同分异构体(图3)

  (2)在25℃下,将amolL-1的氨水与0.01molL-1的盐酸等体积混合,反应时溶液中c(NH4+)=c(Cl-).则溶液显中性(填“酸”“碱”或“中”);

  (3)发射飞船时肼(N2H4)与NO2作推力能源,两者反应产生氮气和水蒸气.已知:

  (4)飞船使用的氢氧燃料电池具有高能、轻便和不污染环境等优点.氢氧燃料电池有酸式和碱式两种,其电池总反应均为:2H2+O2═2H2O.酸式氢氧燃料电池的电解质溶液是强酸溶液,其负极电极反应式可表示为:2H2-4e一═4H+,则其正极反应式为O2+4e-+4H+=2H2O;碱式氢氧燃料电池中的电解质溶液是强碱溶液,其正极电极反应式可表示为:O2+2H2O+4e一═4OH一,则其负极反应式为H2-2e-+2OH-=2H2O.

  7.如图是一些常见元素的单质或化合物之间的转化关系.溶液中的水以及部分反应物或生成物未标出.A、E是空气中的两种主要成分,C是由两种元素组成的新型材料,且和SiC具有相同的价电子数和原子数,D是一种单质,F为气体,J是一种能引起温室效应的气体,K是两性化合物.反应③、④、⑤用于工业中生产H.回答下列问题:

某烃的一种同分异构体(图4)

  (4)B和SiC的纳米级复合粉末是新一代大规模集成电路理想的散热材料.反应①是科学家研究开发制备该纳米级复合粉末的最新途径.已知B由Si及另外两种元素组成,且Si与另外两种元素的物质的量之比均为1:4,写出反应①的化学方程式:Al4SiC4+2N2$\frac{\underline{\;1500℃\;}}{\;}$4AlN+SiC+3C.

在线客服
服务热线

服务热线

13956963336

微信咨询
返回顶部
X

截屏,微信识别二维码

微信号:13956963336

(点击微信号复制,添加好友)

打开微信

微信号已复制,请打开微信添加咨询详情!